TruthVerse News

Reliable news, insightful information, and trusted media from around the world.

local updates

Is a contract personal property?

Writer Robert Harper

In a business and contracts setting, “personal property” refers to items that are moveable, that is, not attached to the land. Personal property is therefore usually set in contrast to real estate, which is not moveable, as well as non-physical items such as intellectual property or stocks.

How do you write a property sale agreement?

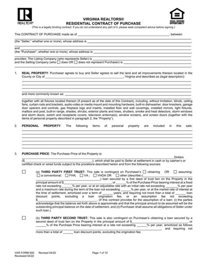
Writing a real estate purchase agreement. Identify the names and addresses of both the buyer and the seller. Detail the price of the property and the terms of the purchase. Set the closing date and closing costs. Detail any taxes and other related costs, and establish which party is paying those costs.

What should be included in an asset purchase agreement?

Parts of an Asset Purchase Agreement

  • Recitals. The opening paragraph of an asset purchase agreement includes the buyer and seller’s name and address as well as the date of signing.
  • Definitions.
  • Purchase Price and Allocation.
  • Closing Terms.
  • Warranties.
  • Covenants.
  • Indemnification.
  • Governance.

What is legal personal property?

The legal definition of personal property is “anything besides land that may be subject to ownership”. Thus, the main characteristic of personal property is that it is movable, unlike real property or real estate. There are two basic types of personal property: tangible and intangible.

What is a sale agreement for property?

Definition: An agreement of sale constitutes the terms and conditions of sale of a property by the seller to the buyer. These terms and conditions include the amount at which it is to be sold and the future date of full payment. Agreement of sale is the base document on which the sale deed is drafted.

Who prepares the contract of sale?

Who prepares the contract of sale? The document is prepared either by a qualified conveyancer or solicitor. When a home is sold privately, it is typically the real estate agent who drafts the contract, and the total price of the property, as well as the initial deposit, so that the buyer can make an offer.

Is an asset purchase agreement a contract?

An asset purchase agreement is exactly what it sounds like: an agreement between a buyer and a seller to transfer ownership of an asset for a price. The difference between this type of contract and a merger-acquisition transaction is that the seller can decide which specific assets to sell and exclude.

Is Cash real or personal property?

Personal property, also referred to as movable property, is anything other than land that can be the subject of ownership, including stocks, money, notes, Patents, and copyrights, as well as intangible property. The terms real estate and real property generally refer to land.

Can agreement of sale be Cancelled?

Yes, you can cancel the agreement to sell as the purchaser has failed to comply with the terms and condition of the agreement. However, you have to refund the money paid by the purchaser for booking your flat. Thereafter, you shall be free to sell the property to any one you desire.

Is agreement of sale a contract?

The ‘Agreement For Sale’ is a contract to transfer property from the seller to the buyer. It is a legal document that outlines the terms of a real estate transaction. It is a contractual property agreement between the seller to sell a particular property on particular terms and an agreed-upon price to the buyer.

Does the buyer or seller prepare the purchase agreement?

Typically, the buyer’s agent writes up the purchase agreement. However, unless they are legally licensed to practice law, real estate agents generally can’t create their own legal contracts. Instead, firms will often use standardized form contracts that allow agents to fill in the blanks with the specifics of the sale.

How long does a seller have to sign a contract?

there is no set time frame for how long a seller has to sign a contract. You can have your attorney cancel your offer at any time before they sign the contract and place it in the mail back to your attorney.

Who signs contract first buyer or seller?

Legally it does not matter who signs the contract first as long as both parties agree to it. Practically speaking, it might be better to sign second. One reason for why it is argued that you should always sign second is that you will be bound by any amendments made after you sign.

Who draws up a contract?

Either one (or a lawyer) can draw up the contract. Usually (at least where I am), the buyer prepares and submits a contract. The seller, in turn, can accept, reject, or counter the contract. That includes not just price but also all the other terms and provisions in the contract.