TruthVerse News

Reliable news, insightful information, and trusted media from around the world.

health

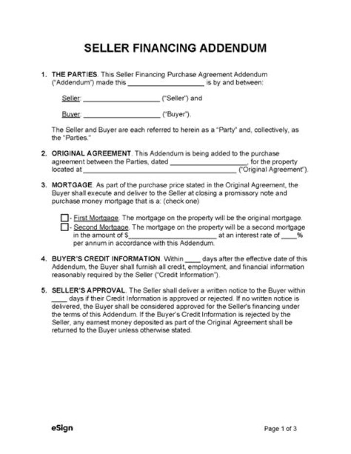
What is a seller standard addendum?

Writer David Craig

What’s a Seller Addendum? It’s an addition to the normal sale and purchase agreement that severely limits Seller’s liability during and after the sale process. For example, the Seller Addendum might limit damages to which Buyer is entitled in the event Seller fails to disclose some problem with the property.

Are addendums legally binding?

An addendum can be created by persons other than the ones who signed the original contract. Amendments are considered part of a contract until it is next negotiated, while an addendum is a legal and binding part of the contract.

What is an addendum endorsement to agreement of sale?

An addendum to a real estate contract or purchase agreement is a document attached to and made a part of the original contract at the time it is prepared. It can be explanatory, informational, or indicate other requirements that aren’t clearly spelled out in the contract.

How long does a seller have to respond to an addendum?

When he/she submits a request for repairs, the buyer sometimes asks for particular contractors to do specific work. The seller typically has three business days from the time of receipt to respond to buyers.

What happens if a seller backs out after accepting an offer?

A home seller who backs out of a purchase contract can be sued for breach of contract. A judge could order the seller to sign over a deed and complete the sale anyway. “The buyer could sue for damages, but usually, they sue for the property,” Schorr says.

What happens if seller doesn’t agree to addendum?

If the seller won’t sign the addendum, then the terms of the contract remain as they are now. As the seller, you can legally refuse to make the repairs. The buyer can then choose to close escrow or withdraw from the sale. If the buyer withdraws for this reason they would be entitled to all of their deposit back.

What makes an addendum enforceable?

A contract addendum cannot be legally enforced unless both parties fully understand the new terms and agree to them in writing. All parties who signed the original contract must also sign the addendum; if one or more parties are unavailable, they can appoint agents who have the authority to sign on their behalf.

What are the addendums to a real estate contract?

Other addenda commonly used are disclosure forms and special inspection requirements. In New Mexico for example, the Septic Inspection Addendum accompanied every contract for a home with a septic system. There was also a state disclosure to the buyer about septic systems included separately as well.

When to add an addendum to a title?

The buyer may add an addendum to have the property fully surveyed rather than accepting a lesser title company solution like an Improvement Location Report. This could be because the buyer has plans for the property that will require a full survey and is trying to leverage their negotiation to get one for free.

What’s the purpose of the ” as is ” addendum?

Purpose of “AS IS” Addendum: Property is being sold in its existing condition. Except as may be agreed to elsewhere in Purchase Contract, Seller will make no repairs and will convey Property without any representations or warranties, either expressed or implied.

Can a seller back out of a purchase agreement?

However, if the inspection reveals the home is in good shape — or the buyer is highly motivated to purchase the home — they might proceed with the sale anyway. The seller may also be able to get the buyer to terminate the purchase agreement by refusing to modify the contract if the home appraises below the sale price.